Dark matter is notoriously difficult to detect. So difficult that we haven't detected it yet. Evidence for dark matter can be seen in everything from the warping of light near galaxies to the way galaxies cluster together. We are pretty sure dark matter is real, but we also know it can't be made of any type of particle we currently know. But a new study has found some interesting data that could be evidence of dark matter, or not.
A central property of dark matter is that it doesn't interact strongly with regular matter or light. Since it makes up most of the matter in the cosmos, it must be almost invisible otherwise we would have seen it long ago. But it should interact with regular matter in subtle ways, similar to the way neutrinos interact with matter.
Neutrinos mostly ignore regular matter. Right now nearly a trillion neutrinos are streaming through your body each second, and you'll never notice. But now and then a neutrino can collide with the nucleus of an atom, creating a few stray photons or elementary particles. These collisions are so rare that neutrino observatories often involve sensitive detectors within large regions of fluid or ice. Since dark matter should similarly interact with regular matter, dark matter observatories follow a similar design.
The XENON1T collaboration is one such dark matter experiment. Buried deep underground, it involves a detector array filled with a tonne of purified liquid xenon. The project uses xenon rather than water because it was looking for heavy dark matter particles known as WIMPs. If they exist, WIMPs would be much heavier than neutrinos, meaning they would produce a distinct signature when they collide with regular matter. So XENON1T could effectively tune out other stray signals to focus only on WIMPs.
Unfortunately, the team didn't detect any WIMPs. So the team tweaked their experiment to look for another type of dark matter particle known as axions. Axions were first proposed in 1977 to solve some subtle problems in particle physics, but their theoretical properties are similar to those of dark matter.
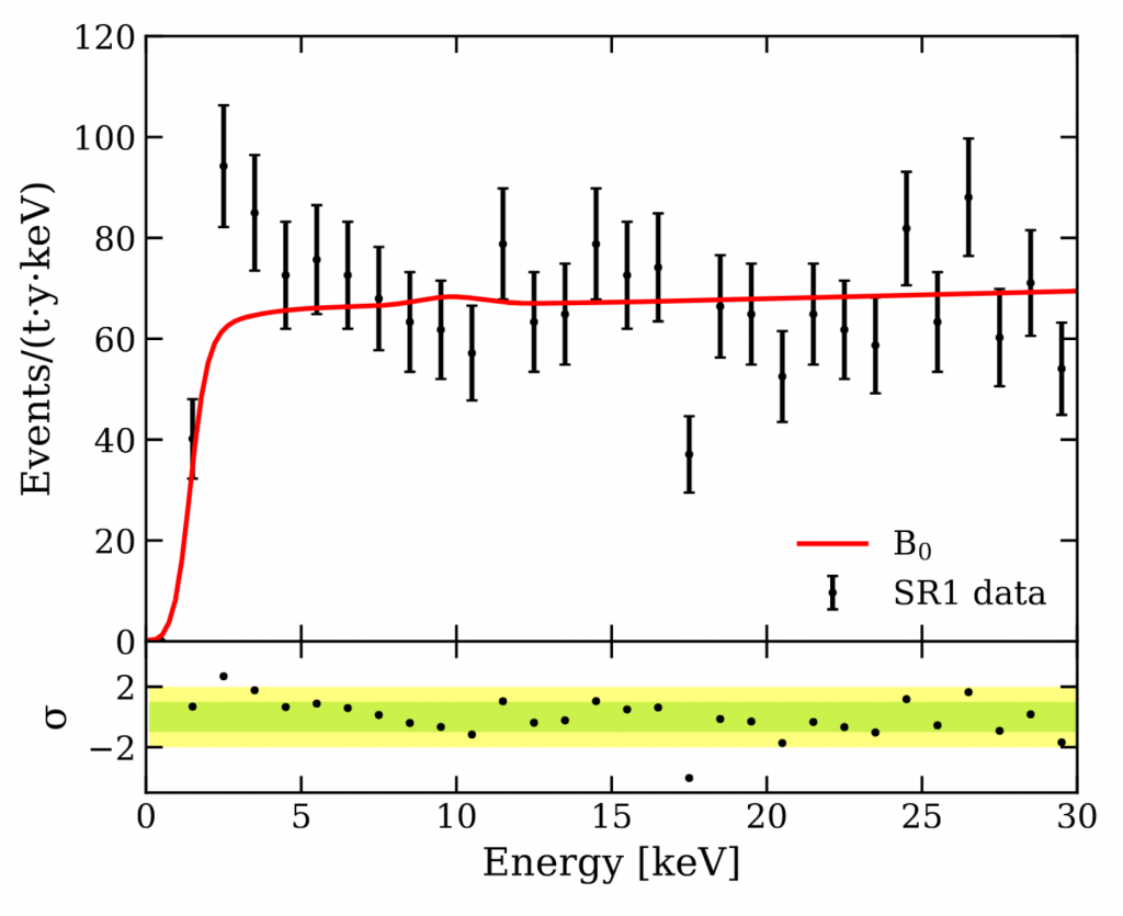
The problem is that an axion signal in the XENON1T would be similar to lots of other signals. Things such as the radioactive decay of atoms in the detector, or the occasional neutrino collision. But these effects are known, so you can calculate the number of expected events. If axions are real, they should produce an excess of events. It would be a signal above the background noise. This is exactly what the team saw.
You can see this in a figure from their paper. The red line shows the expected background signal, while the black bars are the XENON1T data. It mostly agrees, except at the lower energy end. Doing the math, it is a 3.5 sigma excess. It's not high enough to be conclusive, but it is more than enough to be interesting.
While this is exciting, the authors stress that this is not conclusive evidence of dark matter. While this is the kind of signal axions could produce, lots of other things could produce a similar signal. The detector could have some small contamination, such as trace amounts of hydrogen-3. There could also be some astrophysical process producing neutrinos, though that seems less likely. The point is we should be cautious. If this is an axion signal, then further studies will confirm it.
Reference: E. Aprile, et al. " Observation of Excess Electronic Recoil Events in XENON1T." *arXiv preprint* arXiv:2006.09721 (2020).
Universe Today


