So far we know of only two interstellar objects (ISO) to visit our Solar System. They are 'Oumuamua and 2I/Borisov. There's a third possible ISO named CNEOS 2014-01-08, and research suggests there should be many more.
But a new research letter shows that cosmic ray erosion limits the lifespan of icy ISOs, and though there may be many more of them, they simply don't last as long as thought. If it's true, then 'Oumuamua was probably substantially larger when it started its journey, wherever that was.
The title of the research letter is " Erosion of Icy Interstellar Objects by Cosmic Rays and Implications for ‘Oumuamua. " It's available on the preprint site arxiv.org and hasn't been peer-reviewed yet. The lead author is Vo Hong Minh Phan from Aachen University in Germany.
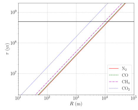
The team of researchers looked at four different types of ices: nitrogen (N2), carbon monoxide (CO), carbon dioxide (CO2), and methane (CH4). Then they considered the cosmic rays in the interstellar medium (ISM) and their erosion effect on the ices. They also considered the erosion that collisions between icy ISOs and ambient gas in the ISM would have on the ISOs.
The research takes many variables into account. CR flux can vary widely and the erosion time for a given icy ISO can vary according to the cosmic ray strength. The same is true for encounters with gas in the ISM. And the different types of ices erode at different rates too.
There's a lot we don't know about 'Oumuamua. In fact, we know almost nothing about it. We don't know what it's made of, we only have range estimates for its size, and we don't really know where it came from. There's scant evidence to prove much about it conclusively.
But all the same, there are some intriguing possibilities.
Previous research suggested that 'Oumuamua could be an N2 ice fragment from a body similar to Pluto in another solar system. That scenario has 'Oumuamua originating from somewhere in the Perseus arm about 0.5 Gyr ago. In that scenario 'Oumuamua's initial size would have been between 10 - 50 km (6 - 31 mi). The actual size within that range would be determined primarily by the cosmic ray strength it was subjected to.
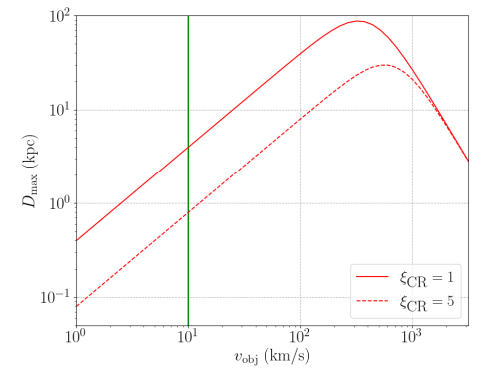
The researchers looked at it another way, too. If the formation mechanisms for different ISOs tells us the initial radius of the object, then they can set distance limits for its origin based on the object's speed. The higher an ISO's speed, the greater the erosion effect from collisions with gas inside the ISM. And on the other hand, the slower an ISO is moving, the more time it spends exposed to cosmic rays, meaning it should erode more quickly.
This type of research is in the beginning stages. The authors point out that we need to know more about the varying strength of cosmic rays in the Milky Way to make more progress. "It is also clear from this example that a more detailed study of the spatial profile of Galactic CRs might help to shed light on the origin of ISOs passing through the Solar System," they write.
We've only known about 'Oumuamua for four years. The study of ISOs is in its infancy. With only two ISOs known so far, there's not many hard data to go on. As advanced observation facilities like the Vera Rubin Observatory come online in the next few years, we're bound to discover more and more of them.
Hopefully, we'll discover them at a greater distance and will have more time to study them. There's even talk of a mission that can visit an ISO as it makes its way through our Solar System.
The ESA is planning the Comet Interceptor mission for launch in 2029. The Interceptor would park at the Sun-Earth L2 point and wait. It can sit there for three years and wait for a reachable long-period comet to arrive. Then it could be dispatched to study the comet. If no suitable comet arrives, there's talk that the Interceptor could be used to study an ISO if a suitable one arrives. And the Initiative for Interstellar Studies has initiated its own potential ISO mission called Project Lyra. Lyra is a spacecraft that could be sent to visit ISOs by slingshotting past Jupiter, or by using advanced systems like nuclear propulsion.
But missions take a long time to plan and implement. And a lot has to go right. In the meantime, the authors think that the best way to expand our knowledge is by growing our understanding of the cosmic ray strength throughout the Milky Way. With that, we could at least build a better understanding of ISO origins. Who knows what we'll learn?
The researchers end their letter with the following: "It would be interesting to incorporate a detailed modelling of the CR distribution in the Galactic disk to set more rigorous constraints on the birth site of known ISOs and this might help to better clarify their origin."
More:
- Research Letter: Erosion of Icy Interstellar Objects by Cosmic Rays and Implications for ‘Oumuamua
- ESA Comet Interceptor
- Initiative for Interstellar Studies: Project Lyra
Universe Today

