Star formation in the early Universe was a vigorous process that created gigantic stars. Called Population 3 stars, these giants were massive, extremely luminous stars, that lived short lives, many of which were ended when they exploded as primordial supernovae.
But even these early stars faced growth limitations.
Stellar feedback plays a role in modern star formation. As young stars grow, they emit powerful radiation that can disperse nearby gas they need to keep growing. This is called protostellar radiative feedback, and it takes place in addition to the restrictive effect their magnetic fields have on their growth.
However, new research shows that the growth of Pop 3 stars was limited by their magnetic fields.
The research is titled " Magnetic fields limit the mass of Population III stars even before the onset of protostellar radiation feedback. " The lead author is Piyush Sharda, an astrophysicist at the Leiden Observatory in the Netherlands. It's available on the pre-print server arxiv.org.
Scientists observe stars forming in the modern Universe to understand how the process plays out. This is difficult because stars take so much time to form, while we've only been watching young stars from a great distance for a few decades. Stars are massive, energetic, complex objects that don't give up their secrets easily.
There are many unanswered questions about star formation, but a general picture has emerged. It starts with a cloud of cold molecular hydrogen that collapses into dense cores. These cories become protostars, also called young stellar objects (YSOs). Accretion disks form around the young stars, and this is where radiative feedback comes in.
As young stars accrete mass, they heat up. They radiate this heat outward into their own accretion disks. As the material in the disk heats, it slows or even stops the accretion process. So radiative feedback limits their growth.
YSOs also rotate more rapidly than more mature stars. The rotation creates powerful magnetic fields, and these fields drive jets from the YSO's poles. These jets steal away some of the accretion energy, limiting the stars' growth. The jets can also disperse some of the surrounding gas, further limiting their growth.
However, the picture may look different for Pop 3 stars. To begin with, their existence is hypothetical at this point in time, though theory supports it. If they're real, astrophysicists want to know how they formed and what their growth limits were. If they're real, Pop 3 stars played a critical role in the Universe by forging the first metals and spreading them out into space.
According to the authors of the new research, simulations haven't been thorough enough to explain the masses of Population 3 stars.
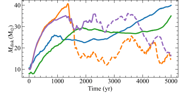
"The masses of Population III stars are largely unconstrained since no simulations exist that take all relevant primordial star formation physics into account," the authors write. "We evolve the simulations until 5000 years post the formation of the first star."
In the team's more thorough simulations, which include magnetic fields and other factors, these early stars are limited to about 65 solar masses. "In 5000 yrs, the mass of the most massive star is 65 solar masses in the RMHD simulation, compared to 120 solar masses in simulations without magnetic fields," they write.
The results show that both simulation runs that included magnetic fields are fragmented, leading to the formation of Pop 3 star clusters. That means that the evolution of the most massive Pop 3 stars in both runs is influenced by the presence of companion stars.
The difference comes down to gravity and magnetic fields working against each other. As young stars accrete mass, their gravitational power increases. This should draw more material into the star. But magnetic fields counteract the gravity. This all happens before radiative feedback is active.
The results also show that in both simulations that include magnetic fields, the amount of mass that reaches the envelope initially increases, then declines. However, the results were different in the simulations without magnetic fields. In those simulations, mass transfer from the envelope to the accretion disk is fast at first, creating a decline in the mass in the envelope and a build-up of mass in the disk. "This mass is consequently accreted by the star at a high rate," the authors write.
"We learn that magnetic fields limit the amount of gas infalling onto the envelope at later stages by acting against gravity, leading to mass depletion within the accretion disk," the authors explain. "The maximum stellar mass of Population III stars is thus already limited by magnetic fields, even before accretion rates drop to allow significant protostellar radiative feedback."
Though Population 3 stars are only hypothetical, our theories of physical cosmology rely on their existence. If they didn't exist, then there's something fundamental about the Universe that is beyond our grasp. However, our cosmological theories do a good job of explaining what we see around us in the Universe today. If we're putting money on it, place your bets on Pop 3 stars being real.
"Radiation feedback has long been proposed as the primary mechanism that halts the growth of Pop III stars and sets the upper mass cutoff of the Pop III IMF (initial mass function)," the authors write in their conclusion. They show that magnetic fields can limit stellar growth before feedback mechanisms come into play.
"This work lays the first step in building a full physics-informed mass function of Population III stars," the authors conclude.
Universe Today


