Extragalactic Archaeology: A New Method To Understand Galaxy Growth and Evolution

NGC 1365 is also known as the Great Barred Spiral Example. It's a stunning example of its galaxy type. It's about 56 million light-years away in the Fornax Cluster. Researchers have used chemical fingerprints based on oxygen to map out its history. Image Credit: By Dark Energy Survey/DOE/FNAL/DECam/CTIO/NOIRLab/NSF/AURAImage processing: Travis Rector (University of Alaska Anchorage/NSF’s NOIRLab), Jen Miller (Gemini Observatory/NSF’s NOIRLab), Mahdi Zamani & Davide de Martin (NSF’s NOIRLab) - https://noirlab.edu/public/images/iotw2127a/, CC BY 4.0, https://commons.wikimedia.org/w/index.php?curid=107557546
NGC 1365 is also known as the Great Barred Spiral Example. It's a stunning example of its galaxy type. It's about 56 million light-years away in the Fornax Cluster. Researchers have used chemical fingerprints based on oxygen to map out its history. Image Credit: By Dark Energy Survey/DOE/FNAL/DECam/CTIO/NOIRLab/NSF/AURAImage processing: Travis Rector (University of Alaska Anchorage/NSF’s NOIRLab), Jen Miller (Gemini Observatory/NSF’s NOIRLab), Mahdi Zamani & Davide de Martin (NSF’s NOIRLab) - https://noirlab.edu/public/images/iotw2127a/, CC BY 4.0, https://commons.wikimedia.org/w/index.php?curid=107557546

Galaxies grow by mergers and infalling gas, and when astronomers want to undertand how a galaxy has grown over billions of years, one of the best way to understand it is through its chemical composition. Studying these chemical fingerprints is called galactic archaeology, and it's based on the fact that stars preserve the chemical composition of the gas clouds that they formed in. Kinematics and astrometry are also involved, as are things like simulations and machine learning.

It's an impressive undertaking for puny humans to try to piece together the formation and evolution of a galaxy over billions of years. That's what a team of researchers led by scientists at the Center for Astrophysics | Harvard and Smithsonian have done with the spiral galaxy NGC 1365. The galaxy is about 56 million light-years away in the Fornax Cluster. It's sometimes called the Great Barred Spiral Galaxy because its dramatic form is so representative of its galaxy type.

Their work is in a paper in Nature Astronomy titled "The assembly history of NGC 1365 through chemical archaeology." The lead author is Lisa Kewley, an Australian astrophysicist, Harvard professor, and director of the Center for Astrophysics.

"Tracking the dynamical history of a galaxy from a single snapshot in time is notoriously difficult," the authors write. "Here we show that the dynamical history of a galaxy can be tracked using oxygen abundances as archaeological tracers."

Oxygen is an effective tracer because massive stars produce it quickly and eject it into the interstellar medium. Stars with more than 8 solar masses synthesize oxygen quickly, and since those stars only live for a few million years before they explode as supernova, the oxygen is blasted into space in short order. A few million years is just a tiny snapshot in the life of a galaxy like NGC 1365, so measuring oxygen as it builds up is a way of measuring how stars have rapidly formed in different parts of the galaxy. Wherever stars are forming rapidly, oxygen also builds up rapidly.

Imagine a hypothetical galaxy that is undisturbed by mergers. In that galaxy, galactic archaeologists would expect to find more oxygen in the center where density is high and more stars form. The oxygen abundance would decline as they examined regions further from the center.

If oxygen abundance doesn't decline further from the center, it means that something has happened. There's been a merger of some kind, a massive infalling stream of gas, or some other event that affected that galaxy's growth.

Researchers have used oxygen abundance to understand the Milky Way's history, but this is the first time this method has been employed to study another galaxy.

"This is the first time that a chemical archaeology method has been used with such fine detail outside our own galaxy," lead author Kewley. "We want to understand how we got here. How did our own Milky Way form, and how did we end up breathing the oxygen that we're breathing right now?"

Individual stars in NGC 1365 or any other galaxy that far away can't be resolved yet. But astronomers are able to measure the oxygen abundance in separate fields in distant galaxies. That's what the TYPHOON survey did. It's a joint effort between the Carnegie Institute of Science, the Institute for Basic Science in Korea, and the Australian National University. It's creating a high-resolution map of 44 large nearby galaxies, including the Great Barred Spiral Galaxy. It's created a sort of "resolved" look at star formation without resolving individual stars.

"We derive the gas-phase oxygen abundances for 4,546 spaxels (spatial pixels) across the face-on spiral galaxy NGC 1365 at a spatial resolution of 175 pc, thus obtaining one of the most detailed chemical fossil records of a spiral galaxy outside our Milky Way," the researchers explain. Then they turned to the Illustris TNG simulation. It's an ongoing series of large scale magnetohydrodynamical simulations of the cosmos and galaxy formation and evolution.

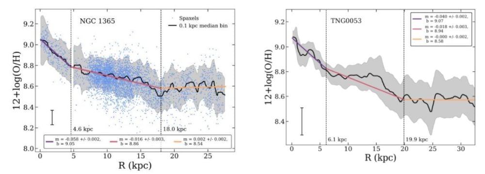
These panels compare the oxygen-derived metallicity of NGC 1365 from TYPHOON with the same from the Illustris TNG0053 simulation. "Solid black lines show the median metallicity as a function of radius, and the shaded regions show the standard deviation from the median. The three colored lines show the best-fit linear fits to the radial metallicity gradient. The vertical lines show the locations of the breaks in the linear fits," the authors explain. Image Credit: Kewley et al. 2026. NatAstr. These panels compare the oxygen-derived metallicity of NGC 1365 from TYPHOON with the same from the Illustris TNG0053 simulation. "Solid black lines show the median metallicity as a function of radius, and the shaded regions show the standard deviation from the median. The three colored lines show the best-fit linear fits to the radial metallicity gradient. The vertical lines show the locations of the breaks in the linear fits," the authors explain. Image Credit: Kewley et al. 2026. NatAstr.

The researchers sorted through 20,000 Illustris TNG simulations until they found one that aligned with NGC 1365's properties. The results showed that there were three separate drivers of the galaxy's growth.

This figure shows how the researchers matched NGC 1365 with the TNG0053 simulation from Illustris TNG. "The TYPHOON RGB image and gas-phase metallicity maps of NGC 1365 are compared with the face-on projections of the z=0 distributions in TNG0053 of gas and stellar surface density, gas-phase metallicity, and stellar metallicity," the researchers explain. Image Credit: Kewley et al. 2026. NatAstr. This figure shows how the researchers matched NGC 1365 with the TNG0053 simulation from Illustris TNG. "The TYPHOON RGB image and gas-phase metallicity maps of NGC 1365 are compared with the face-on projections of the z=0 distributions in TNG0053 of gas and stellar surface density, gas-phase metallicity, and stellar metallicity," the researchers explain. Image Credit: Kewley et al. 2026. NatAstr.

The derived oxygen abundance gradients show that the galaxy's main disk formed first, 11.9 to 12.5 billion years ago, through mergers with multiple dwarf galaxies. Over the last 12 billion years, a steep inner-bar oxygen gradient formed as an infall of gas into the central regions triggered more star formation. Then, between 5.9 to 8.6 billion years ago, a minor merger led to the assembly of an "extended ionized gas disk with flat oxygen abundances."

"It's very exciting to see our simulations matched so closely by data from another galaxy," said co-author Lars Hernquist, Professor of Astrophysics at Harvard and a CfA astronomer. "This study shows that the astronomical processes we model on computers are shaping galaxies like NGC 1365 over billions of years."

This work validates the use of extragalactic archaeology to understand the history of distant galaxies. Despite being unable to resolve individual stars, the observations of oxygen emission lines across the galaxy is like a proxy for star formation. Importantly, the method only works when it can be cross-checked with simulations like Illustris TNG. There are other reasons why the galaxy could display an oxygen gradient pattern across its structure, and Illustris TNG can tell researchers which of a galaxy's potential histories are plausible and which are not.

"This study shows really well how you can produce observations to be directly aided by theory," Kewley said. "I think it's also going to impact how we work together as theorists and observers, because this project was 50 percent theory and 50 percent observations, and you couldn't do one without the other. You need both to come to these conclusions."

The natural question that this work generates concerns other spiral galaxies, including our own, and if they formed similarly.

"Do all spiral galaxies form in a similar way?" asked Kewley. "Are there differences between their formation? Where is their oxygen distributed now? Is our Milky Way different or unique in any way? Those are the questions we want to answer."

Evan Gough

Evan Gough

Evan Gough is a science-loving guy with no formal education who loves Earth, forests, hiking, and heavy music. He's guided by Carl Sagan's quote: "Understanding is a kind of ecstasy."