When Oumuamua travelled through our Solar System back in 2017, people around the world paid attention. It was the first Interstellar Object (ISO) astronomers had ever identified. Then in August 2019, Comet 2I Borisov travelled through our Solar System, becoming the second ISO to cruise through for a visit. Together, the visiting ISOs generated a wave of inquiry and speculation.
There's bound to be more ISOs than just those two, and a new study says our Solar System has probably captured some of these interstellar visitors, though they don't stay for long.
Although ISOs are rare, the Solar System is old, and many have likely visited. Astronomers think that some of these objects can be captured in Solar orbits. This study takes a closer look at ISO capture and tests the idea that some ISOs could be captured in near-Earth orbits rather than Solar orbits. The researchers behind the work say that there could be a steady population of ISOs in near-Earth orbit.
"Interstellar objects present a unique mechanism to investigate theformation and evolution of planetary systems including our own."From "Close Encounters of the Interstellar Kind: Exploring the Presence of Interstellar Objects in Near Earth Orbit."
Finding tiny objects in space is extremely difficult. The only images we get of other solar systems are either of their stars or weak images of the odd exoplanet. Sometimes astronomers detect debris disks and other features, but fine detail eludes them. So it's nice that other solar systems send the odd involuntary emissary our way. Studying these ISOs is one way to gain insight into other solar systems and how they form and evolve.
The authors of this paper say that ISOs provide a unique opportunity to "... investigate the formation and evolution of planetary systems, including our own." They also point out that whether any are in our Solar System now is a major point of interest for astronomers. "Although rare," they write, "ISOs can be captured into bound orbits by different planets in the solar system."
The paper is " Close Encounters of the Interstellar Kind: Exploring the Presence of Interstellar Objects in Near Earth Orbit. " The first author is Diptajyoti Mukherjee, a graduate student in Computational Astrophysicist from the Physics Department at Carnegie Mellon University. The other authors are Hy Trac, Amir Siraj, and Avi Loeb. The paper hasn't been peer-reviewed yet.
Recent research showed us that the upcoming Vera Rubin Observatory could find up to five ISOs per year and that the Oort Cloud, if it exists, might contain more ISOs than native Solar System objects. Other research suggests that cosmic rays might erode most ISOs to nothing. Other papers have shown that many ISOs would be pulled into Jupiter and destroyed.
But none of them specifically examined captured ISOs in near-Earth orbits.
The study is based on numerical simulations, where each particle in the simulations represents a potential ISO on a different trajectory originating outside the Solar System. The simulations are based in large part on scattering effects, where an incoming particle is interfered with in different ways by the Earth, the Moon, the Sun, and Jupiter, in varying combined ways.
The research involves cross-sections of space and velocity that result in ISOs being captured in near-Earth orbits. The researchers call them capture cross-sections, and after a large suite of N -body scattering simulations, they identified trends.
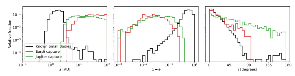
Their results show that massive Jupiter plays a dominant role. The Earth-Moon and Jupiter capture cross-section "... dominate the capture of interstellar objects into near-Earth orbits by a factor of 104compared to that of Earth-Moon."
When the authors compared their results with the actual distribution of known small bodies in our Solar System, something notable popped up. If an ISO were captured, it would likely end up with a greater than 10 AU. They point out that this is where the Centaurs exist. The Centaurs are small Solar System bodies with unstable orbits due to interactions with the giant planets. Could ISOs be hiding among the centaurs?
"ISOs hiding amongst the Centaurs have been examined by Siraj & Loeb (2019), but no known Centaurs are considered to have an interstellar origin," they write. "However, our study suggests a closer examination may be merited."
Captured ISOs are not likely to have very stable orbits. The team's data shows how ISOs could be captured into near-Earth orbits, but looking for them in these initial orbits might prove fruitless. That would be too easy, wouldn't it? Nature seldom gives up its secrets so readily.
"We caution the reader that this is not a full representation of present-day captured ISOs by Earth and Jupiter (should they exist). ISOs captured in the past will evolve their orbital parameters over time due to interactions with other planets in the Solar System," they explain.
The team performed some long-term orbital calculations for a subset of captured ISOs out to 10 million years to test their survival. They plotted the survival of objects in their near-Earth orbits. Some ISOs might escape their initial capture orbit into another captured orbit, but those ISOs fall outside this effort.
Once a captured ISO leaves its near-Earth orbit, it either leaves the Solar System or takes up a new orbit with a larger perihelion and semi-major axis. But objects captured by Earth have an average survival rate two or three times those captured by Jupiter.
If there are captured ISOs in near-Earth orbit, they don't last long. ISOs captured by Jupiter into near-Earth orbits have a half-life of about 50,000 years. Ones captured by the Earth-Moon have a half-life of about 130,000 years. Another way of looking at this is that the population of Jupiter-captured ISOs dwindles to 10% of the original fraction in only 800,000 years. For Earth-Moon captured ISOs, it's 2.1 million years.
But many of these objects will be exceedingly small, nothing like Oumaumua or Comet Borisov. The population is dominated by ISOs about 1 meter in diameter. There is no way that an object like Borisov or Oumuamua could ever be captured unless we did it artificially.
If we're ever going to find one of these captured ISOs, it'll be up to facilities like the Vera Rubin Observatory and its Legacy Survey of Space and Time. It's a planned ten-year survey of the southern sky that should begin sometime after its first light in August 2024. It'll repeatedly image the sky and will find small objects that are moving through the Solar System. Some estimates say it will find a few Oumuamua-sized objects per year.
According to the authors, there could be a more substantial population of captured ISOs hiding among other NEOs. This demonstrates the need to study them in greater detail. The best way to study them is to go out and meet one of the larger ones.
The ESA's Comet Interceptor mission could do it. Relying on the advance notice of an approaching ISO that the Vera Rubin Observatory will provide, a robotic spacecraft could sit in wait at the Sun-Earth LaGrange 2 Point until a suitable ISO is identified. Then the Interceptor could be sent to intercept it, observe it, and collect a sample from its tail.
The ESA is partnering with JAXA, the Japanese Space Agency, and they plan to launch the Comet Interceptor in 2029.
"By detecting and studying captured interstellar objects," the authors state, "we can learn about the properties and origins of such objects, and the formation and evolution of exoplanetary systems and even our solar system."
Universe Today





